作者 藍子閎 / 宜蘭縣國華國中
第一篇、數學
「叮~」數學課的鐘聲響起。
「唉…真的很無聊欸,還是搞不懂數學有什麼用。」我同桌的艾琳說道。
「這種東西很難解釋啦……」
「各位同學好,打開課本51頁,今天繼續講排列組合,先看第3……」數學老師開始講他的數學。
「我覺得我可以開始睡覺了。」艾琳說。
「別這樣啦,撐一下。」數學真的有這麼討厭嗎?
「老師,排列組合可以拿來吃嗎?」坐我前面的凱威舉手說到。
全班哄堂大笑。
「是嗎,那我想請麥可起來說一下,你在生活中那裡用到了數學?」老師說
為什麼點我…「呃…去便利商店買午餐?」這答案尷尬爆了。
大家都在笑,我比我想的還蠢。
「同學冷靜。」
「看起來麥可的回答,並沒有解開你們的迷思。沒關係,老師可以慢慢地來告訴你們。」
我看了一眼艾琳,還好他不像那群人一樣笑我。
「那是什麼阿!」副班長大叫。全班都往他手指的地方看。
那是一坨白色的霧氣,他很快,大家還在慌張,沒給我們太多時間,整個教室滿室煙霧,而數學老師,卻不見了。
接著,我感覺到有東西撞到我的腳,這個方向,這個長髮……
是艾琳。
第二篇、遊戲
眼前的霧漸漸變淡,這裡不是教室,前面有篝火,旁邊一棵一棵站立 的樹,是…森林!?
幹嘛把我們帶到森林?腳下還有紅色的圓圈圍住我。
「這裡是哪裡?」凱威說。
「各位西典高中二年五班的同學們。」這是…數學老師的聲音!
「你是誰?你怎麼知道我們的高中?」凱威說。
「我是你們的數學老師,我邀請你們來到我精心準備的遊戲。」
「不好意思用了稍微強迫的方法,但我相信你們會玩的不亦樂乎。」
「我不要!這裡是哪裡?」有人說。
「你也可以退賽,我來幫你。」
「碰。」刺耳的槍聲竄入我的耳膜。
「請大家冷靜,只要一起玩遊戲,可以活下來的。」
大家都很慌,但高中的我們,沒有人敢動。
「接下來是第一個遊戲,『圍圓砍人』。」
「欸不對吧?是真砍還是假的?」因為害怕而我沒有問。
「規則如下:找十人圍成一圈,以逆時針來數,第一個人開始,每跳過五個人,就被前一號砍死,剩下4人活下來,位置都給你們選,選後無法更換,你們現在有十分鐘。」
「開始。」
真…真的要砍人?
「麥可!我們一起吧?」副班長帶著凱威來問。
「呃…那我們也找一下艾琳吧?」我說。
「好啊。」
「麥可。」艾琳說。
「怎麼了?」
「要是你知道哪四個能活下來,我們就能贏對嗎?」
對!這是重點!
「好,我試試。」
我拿起旁邊的十顆石頭,畫上編號,擺成圓圈。
「很明顯,六號會先被砍死,嗯…這個問題老師好像說過……」
「靠你了。」凱威說「我們上課都聽不懂。」
「對了,要是我們將他重新編號……」
「看起來每個編號都加了4。」副班長說。
「對呢,你好聰明。」我說。
「但是一旦超過10,就要把他減掉10,如果原本人數是n,每隔k人去掉,設f(n ,k)是最後活下來的人,fn ,k= fn-1 ,k+k,但是如果加了k後大於n,就減掉n。」
「聽不懂啊。」
「總之利用 fn ,k=fn-1 , k+k的規律,從f1, k來推算f(2,k)」
「最後是3嗎?」副班長算完了!
「其中一個。我們分散吧,去3的位置,因為剩下四分鐘,我還不知道怎麼算其他三個。」
「好吧。各位快走。」
我趕快跑到其中一個紅色圓圈裡,站到第3的位置,我好奇他們都找到了嗎,希望如此。
「剩下十秒,九秒,八秒……」數學老師在倒數。
「開始砍殺。」
第三篇、命運
「請五號領取中間桌子的刀。」
那是血淋淋的刀阿……
「走到六號面前,砍殺完畢請將刀放回桌上。」
「阿…不是吧…你…(碰)」六號哀號著倒下。
這五號就像是跟六號有仇,我害怕到不敢睜開眼睛。
「場上還有40位學員」
「場上還有20位學員」
空氣中瀰漫著血的味道。
「場上還剩12位學員」
最後兩個…真的就這樣死了?
這遊戲也太可怕了吧?
「叮咚。」
中間的桌子上出現了四塊麵包。
「恭喜這些幸運的學員們,請休息一會,待會接著第二項遊戲。」
不…是吧…還有?
拜託這是一場夢。
「讓我先講解規則,遊戲開始時間為,半個小時後。規則如下:兩兩配對,雙方各挑1~5顆球,一人紅一人藍,放進同個盒子裡,雙方開始輪流抽球,放較少顆的先抽,最後,有幾顆自己的球在手上,除以原本放的顆數,誰大誰獲勝,平手則先抽者勝。」
好複雜喔…這是…機率的問題嗎?
先找到艾琳他們吧。
「麥可,你來啦。」
「你太厲害了。」
「幸好各位都有搶到,但是接下來這個問題……」我說。
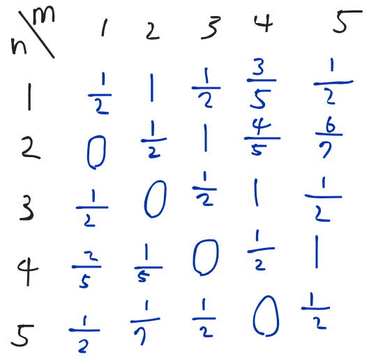
「我大概有想法了。」我說著並在地上畫了一個表。
「n是我放了幾個,m是對方放了幾個,我們要算我們放n個時,贏的平均機率。」
「他是不是左右對稱?」副班長說。
「因為他贏的機率就是我輸的機率。」
沒錯,(n ,m)+(m ,n)=1。
「那我只要算我放少的那些就好了。設k為我抽到我自己的顆數,列以下不等式。」


「找到k符合這條件,就是我抽到幾個才會贏。」
「最後就是求總共n+m個位置,其中r個裡面至少有k個我的球的機率。」

「嗯…還要再加上排列組合。」
「也就是乘上Cn取k。」
但想到一件麻煩的事。
他們會重複。
像這種情形,在算球1時會算到一次,算球2時也會算到一次。
我決定,找一顆球當總和,其餘只算只有他自己的總數。


再利用(n , m)+(m , n)=1。
算平均,完成!!
「投兩顆機率竟然最高?」艾琳驚訝道。
「我勸大家還是投一顆。」副班長說。
「兩顆只多1%,但卻有被秒殺的可能。」
的確。
「那大家就去投一顆,希望大家都平安歸來。」
其實大家都活下來的機率只有(62%)4
我們走入了大洞裡。
「離遊戲開始,剩下一分鐘。」
我走到了一個台前,上面有兩個裝有不同球的籃子,跟一個摸彩箱。
有人走來了,他將是我的對手。
「嗨,書呆子。」
很好,來了個該死的人。
只會霸凌有什麼用。
「遊戲開始,請雙方各拿一個籃子,選擇放1~5顆球進箱子裡。」
我拿了紅色的,放了一顆。
「看來你數學白學了,只放一顆,抽到的機率那麼低,哈哈。」
「開始抽取,注意,放少的先抽。」
這球,抽到的機率為
。
不出我所料,沒抽到。
「哈哈。」
他這球抽到的機率,
……
明明只差了
,但特別的害怕,萬一他抽到我就死定了。
「來,換你。」

沒中……?
求你不要抽到。
「我的,換你吧,書呆。」
……
我摸了很久,哪顆像紅色的?我的手上滿滿的手汗。
手從全黑的箱子裡伸出來。
紅色…!!!
我成功了……
我活下來了……
「蛤?我輸給了書呆子?」
「書呆總是比你有用。」
「碰。」
槍聲依舊可怕,但我脫離了這個人。
是副班長!
「欸!快來!」我喊。
「你活下來了,太好了。」
接著慢慢的大家都走出來了。
「艾琳!」副班長喊。
真的!真的是她!
「凱威呢?」
「我親眼…親眼看到他…被…」艾琳一臉害怕地說。
「沒事,我了解了」
「…喔不」副班長說。
「請學員們領取便當。」
我太累了,沒吃就睡著了。
「麥可!我們成功了!」是艾琳的聲音。
「呃…蛤?」
「第一名阿!我們可以走了。」
「其他人呢?」
「死了。」
「蛤?為什麼?」
「世界上沒有那麼多為什麼。」好冷淡的語氣。
「你不是真正的艾琳!」
「我沒說我是。」
「欸,麥可,你在中什麼風阿。」副班長說。
嗯……?
「阿…阿沒事,做了惡夢。」
「無聊。」
此時已是傍晚,旁邊都是屍體。
唯獨剩下十個人,坐著,看著無情的夜空。
第四篇、壓抑
「該醒囉,學員們。」
「我們可以走了嗎!?」我說。
「還沒,摸一摸你們的口袋,跟著牌上的號碼走進房間。」
5…5號?
在室內遊戲廳對面,有十道門。
我走進了第5道,裡面有張紙條。
「前方是一個平台,四面有牆,牆後有另外四人。」
「四人中,兩人只會說假話,兩人只會說真話。」
「你的目標是得知誰說真話誰說假話,期間你只能問一個問題,且有半小 時時間限制。而幕後有人聽取你們遊戲,在他看不見的情況下,要是他也知道誰真誰假,腳下的平台將會打開,你會掉進無盡的深淵。」
「請拿取示意圖。」
不能讓幕後者知道是誰……
也就是不能問1+1=2的問題……
我走進了場地,腳下的地板突然升起,帶我到了很高的地方,我看了看示意圖,我到了遊戲場地。
「好…好高。」我顫抖著想。
「遊戲將在一分鐘後開始。」
好安靜。
慢慢四面有人走了進來。
「開始。」
有什麼是只有我們知道的?
不可能…不可能有這種東西。
說好的數學呢……?
而且這裡這麼高,太難思考了啦。
只能問一次……
我要死在這裡了,沒有機會了。
老師為何讓我在5號……
「注意,麥可。」
「在考試的時候,你面臨的是時間跟實力的壓力,一心不可二用,你看著野獸顫抖,怎麼拿好刀。」
怎麼拿好刀…時間…實力……
找…找到刀柄了!
「幕後者…看不見的情況下。」
我摸了摸口袋,那個號碼牌還在。
雖然很高,但只有這個方法。
印象中一節手指頭大約2公分,這張牌子大約10公分。
用這個牌子算出一些距離。
我要把號碼牌放在一個地方,而我得問他們看不看的到。
這麼高的地方,要他們伸出頭,肯定只出來一點。
跟頭寬一樣。
17公分。
我記得…生物老師教過。
「人眼在頭不可動的情況下,眼球可動,可以看到上面70度,下面80度,左右各115度。」
畫完。
他們看的到的地方就是這樣了。
為增加複雜性。
所以我必須要找到一個,只有一個人看不到的地方。
把那個人的視線區畫成藍色。
另三個人要看的到。
黑色部分就是我要的!
我把號碼牌放到一個牆前面的黑色區域。
嗯,這個牆後的應該看不到,其他看的到。
「請你們探出頭看,有看到我的號碼牌嗎。」
他們都戴著面具欸!
他們依序回答有、沒、有、有。
請幕後者照說的順序回答真假。
「真,假,假,真」是個成年男子的聲音。
請中間的人照順序回答真假。
「真,假,真,假」我說。
「恭喜挑戰者通關。」數學老師說。
平台緩緩下降,我走出了5號門。
前面等著我的是…只有艾琳!?
「麥可!」
「其他人呢?」我說。
「好像… 剩我們兩個。可以一起出去了。」她說。
我想起了我的惡夢。
「可是我們出去後怎麼辦?」艾琳問。
「大家都死了欸。」她接著說。
大家都死了…?
我的夢…
第五篇、以抉擇來證明
數學老師又來了。
「兩位請跟我走。」
他要帶我們出去了?
「前面的兩個房間,請挑一個進去。」
還有?
我走進了右邊的2號房間。
老師廣播:「歡迎來到最後一個遊戲,遊戲名叫,猜拳。」
猜拳!?
「遊戲玩法:兩方將前面的猜拳紙板放入讀卡機,放的紙板為該者出的東西。我將依照對方投的紙板,給你三個提示,接著我將到你們的房間,詢問是否換牌,最後前方電腦顯示雙方猜拳結果。輸者淘汰。」
這……
我跟他…只有一個能出去……
我不要。
「請投入猜拳紙板」
啊!該死,趕什麼趕,是你會投胎還我會投胎。
我投了石頭。
電腦出現了提示。
「對方出的,需要比兩根手指頭。」
「他是布的手下敗將。」
「該物品,可用來簡單的裁切。」
該提示有兩者為真。
「會不會…太簡單……」
我寧可我不知道,交給命運。
他出的是剪刀,那。
不對,我會殺了他。
「但他可以換欸。」我的大腦跟我說。
「他不會的。她說過,她最討厭猜來猜去,她永遠是那麼單純。」
「嗨,麥可。」數學老師來了。
「你要換牌嗎?」
我能不能直接打扁他?
不,他的手放在口袋裡,褲子是第一天他拔槍的褲子。
我的心裡百般吶喊。無能為力真的很痛苦。
我……
臉頰上的水珠緩緩落下。
我那時……
「欸話說,你怎麼通過的?」
「我看過剩下的十個人,除了你,大家都喜歡過我。」她說。
「而你在我這間的機率是49,我只好賭了。」她繼續說。
「當我問他們有沒有喜歡過艾琳,他們回答是假真真假。」
「那我就知道囉。」
「竟然有這種方法……」我說。
「呵呵,我聰明嗎。」
「對阿,很強的。」
「嘿,艾琳。」我小聲地說。
「怎麼啦?」
「其實……」
我遺憾我當時沒說出口。
讓我只能用抉擇來證明。
證明不管我在不在你那一間,你通過的機率都是。
「100%」
只是這輩子,我再看到那道金黃色秀髮,淺藍色瞳孔的雙眼。
那安撫人心的聲音。
「0%」
電腦顯示出了結果。
1號房間者勝利。
剪刀比贏布。
– 我害怕槍,但我堅定的選擇了你 –